Практическая работа №9.
Тема: «Номенклатура органических веществ».
Цель: овладеть навыками составления структурных формул органических соединений, использовать правила систематической номенклатуры при их названии. Овладеть навыками решения простейших химических задач.
Задачи практического занятия:
1. Закрепить теоретические знания о принципах заместительной номенклатуры органических соединений отдельных классов
2. Выполнить расчетные задачи.
Образовательные результаты, заявленные во ФГОС третьего поколения:
Обучающийся должен знать:
- Принципы номенклатуры органических веществ;
- Составление полных и сокращенных структурных формул органических веществ отдельных классов, используя их названия по систематической номенклатуре;
- Расчеты простейшей формулы органической молекулы, исходя из элементного состава (в %).
Обучающийся должен уметь:
- составлять названия органических соединений;
- записывать формулы органических веществ по названию;
- производить расчеты простейших формул органических веществ, исходя из элементарного состава.
Оборудование: тетрадь для практических заданий, линейка, карандаш, периодическая система химических элементов.
Рекомендуемые информационные материалы:
1. Учебник О.С. Габриелян «Химия 11 класс. Базовый уровень» - М.: «Дрофа» 2024
2. Адрес публикации: https://multiurok.ru/files/alghoritm-rieshieniia-raschietnykh-zadach-na-vyvod.html
Освоены следующие компетенции:
ОК 1. Понимать сущность и социальную значимость своей будущей профессии, проявлять к ней устойчивый интерес.
ОК 2. Организовывать собственную деятельность, выбирать типовые методы и способы выполнения профессиональных задач, оценивать их выполнение и качество.
ОК 4. Осуществлять поиск и использование информации, необходимой для эффективного выполнения профессиональных задач, профессионального и личностного развития.
ОК 5. Использовать информационно-коммуникационные технологии в профессиональной деятельности.
ОК 8. Самостоятельно определять задачи профессионального и личностного развития, заниматься самообразованием, осознанно планировать и осуществлять повышение квалификации.
Количество часов: 2 часа
Критерии оценки:
- Зачет ставится в случае, если выполнено не менее 50% заданий, в освещении вопросов не содержится грубых ошибок, самостоятельно выполнена практическая работа, выполнены требования к оформлению.
- Незачет ставится, если обучающихся не справился с заданием (выполнено менее 50% задания), нераскрыто основное содержание вопросов, имеются грубые ошибки в выполнении задания, а также работа выполнена несамостоятельно.
Краткие теоретические и учебно-методические материалы
по теме практического занятия
Правила построения названия органического соединения по номенклатуре ИЮПАК
1). Выбрать главную цепь молекулы. Определить все присутствующие функциональные группы и их старшинство. Определить наличие кратных связей
2). Пронумеровать главную цепь, причем нумерацию следует начинать с наиболее близкому к старшей группе конца цепи. При существовании нескольких таких возможностей, нумеруют цепь так, чтобы минимальный номер получили или кратная связь, или другой заместитель, присутствующий в молекуле.
Карбоциклические соединения нумеруют, начиная со связанного со старшей характеристической группой атома углерода. При наличии двух и более заместителей цепь стараются пронумеровать так, чтобы заместителям принадлежали минимальные номера.
3). Составить название соединения:
Определить основу названия соединения, составляющего корень слова, который обозначает предельный углеводород с тем же количеством атомов, что и главная цепь.
После основы названия следует суффикс, показывающий степень насыщенности и количество кратных связей.
Например, — тетраен; — диен.
Далее арабскими цифрами показывают местоположение кратных связей.
Например, гексин-2
Затем, также в суффикс добавляется наименование самой старшей функциональной группы.
После следует перечисление заместителей в алфавитном порядке с указанием их местоположения арабской цифрой.
Например, — 5-изобутил; — 3-фтор.
При наличии нескольких одинаковых заместителей указывают их количество и положение,
например, 2,5 – дибром-; 1,4,8-триметил-.
Следует учесть, что цифры отделяются от слов дефисом, а между собой – запятыми.



ПРАКТИЧЕСКАЯ ЧАСТЬ
Задание 1. Напишите структурные формулы веществ
1. Напишите структурные формулы веществ с 3-мя атомами углерода в молекуле, если их названия по международной номенклатуре имеют окончания: -ан; -ен; - ин; -ол; -аль; -овая и приставку амино-.
2. Напишите структурные формулы веществ с 4-мя атомами углерода в молекуле, если их названия по международной номенклатуре имеют окончания: -ан; -ен; - ин; -ол; -аль; -овая и приставку амино-.
3. Напишите структурные формулы веществ с 5-ю атомами углерода в молекуле, если их названия по международной номенклатуре имеют окончания: -ан; -ен; - ин; -ол; -аль; -овая и приставку амино-.
4. Напишите формулу органических веществ
а.) 2-метилбутана,
б) 2-хлорэтана,
в) 2,2,3-триметилпентана,
г) тетраметилметан
д) 2-метилгексен-3
5. Напишите формулу органических веществ
а) 2-метилпентана,
б) 2-бромпропана,
в) 2,3-диметилпентана,
г) 3,3- диэтил- 4- пропилгептен-1
д ) 2- метил- 2,4,4- триметилгептан
Задание 2. Напишите по 3 структурные формул веществ состава:
2.1.
а) С4Н10О;
б) С4Н8О;
в) С4Н8О2.
Назовите вещества.
2.2.
а) С5Н12О;
б) С5Н10О;
в) С5Н10О2.
Назовите вещества.
2.3.
а) С4Н10О;
б) С4Н8О;
в) С4Н8О2.
Назовите вещества.
2.4.
а) С6Н14О;
б) С6Н12О;
в) С6Н12О2.
Назовите вещества.
2.5
а) С7Н16О;
б) С7Н14О;
в) С7Н14О2.
Назовите вещества.
Задание 3. Выпишите формулы веществ и под каждой укажите название вещества и гомологический ряд, к которому оно принадлежит:
1.
|
а) C6H5NH2
|
г) СН3-(СН2)3-СОН
|
ж) СН3-(СН2)2-СООН
|
|
б) C7H15-OH
|
д) C12H22O11
|
з) C2H5-O-СН3
|
|
в) C6H5-OH
|
е) C4H9NH2
|
и) C8H18
|
2.
|
а) C6H13-OH
|
г) C3H7NH2
|
ж) СН3-(СН2)2-СОН
|
|
б) C2H5-OH
|
д) C2H5-O- C2H5
|
з) C6H5NH2
|
|
в) C12H22O11
|
е) СН3-СООН
|
и) CH3-СО-СH3
|
3.
|
а) C6H5NH2
|
г) СН3-(СН2)3-СОН
|
ж) СН3-(СН2)2-СООН
|
|
б) C7H15-OH
|
д) C12H22O11
|
з) C2H5-O-СН3
|
|
в) C6H5-OH
|
е) C4H9NH2
|
и) C8H18
|
Задание 4. Напишите структурные формулы
Вариант 1.

Вариант 2.

Задание 5. Решите задачи.
Пример решения
Алгоритм решение расчетных задач на вывод
молекулярной формулы вещества по массовым долям элементов
Задача 1. Найти молекулярную формулу вещества, содержащего 81,8% углерода и 18,2% водорода. Относительная плотность вещества по азоту равна 1,57.
Решение
1. Записать условие задачи.

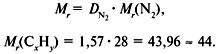
2. Вычислить относительную молекулярную массу Mr(CхHy) по относительной плотности:

3. Найти индексы х и y по отношению :

4. Записать простейшую формулу: С3Н8.
Проверка: МrC3H8) = 44, следовательно, C3H8 – истинная формула.
Задача 1. Найти молекулярную формулу вещества, содержащего 81,8% углерода и 18,2% водорода. Относительная плотность вещества по азоту равна 1,57.
Задача 2. Найти молекулярную формулу предельного углеводорода, массовая доля углерода в котором 83,3%.
Задача 3. Выведите формулу вещества, содержащего 81,8% углерода и 18,2 % водорода, если относительная плотность по водороду равна 22.
Задача 4. Определите молекулярную формулу углеводорода, если массовая доля углерода равна 85,75, а водорода –14,3%. Относительная плотность этого вещества по азоту примерно равна 2.
Задача 5. Найти формулу вещества, содержащего 85,71% углерода и 14,29% водорода, если относительная плотность паров этого вещества по воздуху равна 1,448.
Задача 6. При сгорании 4,3 г Углеводорода получили оксид углерода массой 13,2 г и воду массой 6,3 г. Относительная плотность этого углеводорода по воздуху равна 2,966. Выведите молекулярную формулу.
Задание 6. Сделайте выводы по работе
|